Opis
Działka inwestycyjna w klimatycznej części Oliwy!
DZIAŁKA: na sprzedaż działka inwestycyjna o powierzchni 1135 m2.
Aktualnie teren jest ogrodzony, płaski, usunięto z niego drzewa. Kształt działki tworzy ustawny trapez. Dojazd do niej odbywa się drogą wyłożoną kostką brukową.
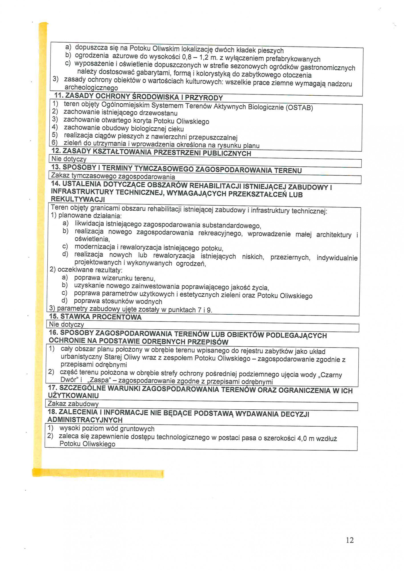
Nieruchomość objęta jest obowiązującym planem miejscowym zagospodarowania przestrzennego (UCHWAŁA NR VI/66/07 RADY MIASTA GDAŃSKA z dnia 18 stycznia 2007 roku). Numer ewidencyjny planu 0231 (Oliwa Górna – rejon Katedry Oliwskiej w mieście Gdańsku), karta terenu oznaczonego symbolem 004-ZP.
Na działce obowiązuje zakaz zabudowy, co oznacza, że obiekty, które na niej powstaną, nie mogą być trwale związane z gruntem.
Funkcje wyłączone: obiekty obsługujące użytkowników za wyjątkiem sezonowych ogródków gastronomicznych.
Minimalny procent powierzchni biologicznie czynnej: 70%.
LOKALIZACJA: działka znajduje się w gdańskiej dzielnicy Oliwa – jednej z najbardziej pożądanych miejskich destynacji ze względu na swój niepowtarzalny klimat i całe mnóstwo ciekawych zakątków. Tuż obok Katedra Oliwska, Park Oliwski, Staw Młyński, Wieża Widokowa Pachołek, a wszystko to w otulinie zieleni. W okolicy znajduje się pełne zaplecze handlowo-usługowe, przedszkola, szkoły, poczta, apteki, restauracje, banki itp.
KOMUNIKACJA: nieruchomość znajduje się w miejscu, z którego w bezproblemowy sposób dostaniemy się w różne części Gdańska dzięki kursującym tu autobusom i tramwajom (odpowiednio 2 i 7 minut spacerem). Z kolei w 13 minut piechotą dotrzemy do dworca kolejowego w Oliwie, skąd wyruszymy w dalszą trasę Szybką Koleją Miejską (SKM) lub pociągami dalekobieżnymi. Łatwy i szybki dostęp do Obwodnicy Trójmiasta (ok. 6,2 km) pozwoli na skomunikowanie z Gdańskiem, czy Gdynią, a także umożliwi dojazd do Autostrady A1.
ZAPRASZAM NA PREZENTACJĘ!
_________________________________________
KUP Z NAMI – KORZYSTNIE, SZYBKO I BEZPIECZNIE!
– gwarantujemy bezpieczny zakup i najlepszą cenę
– oferujemy skuteczną i bezpłatną pomoc w uzyskaniu kredytu
– zapewniamy fachowe doradztwo przy zakupie pod inwestycję
Więcej podobnych ofert znajdziesz na naszej stronie www.partnerzy.pl




















